Python3 文章标题关键字提取的例子
思路:
1.读取所有文章标题;
2.用“结巴分词”的工具包进行文章标题的词语分割;
3.用“sklearn”的工具包计算Tf-idf(词频-逆文档率);
4.得到满足关键词权重阈值的词
结巴分词详见:结巴分词Github
sklearn详见:文本特征提取――4.2.3.4 Tf-idf项加权
import os
import jieba
import sys
from sklearn.feature_extraction.text import TfidfVectorizer
sys.path.append("../")
jieba.load_userdict('userdictTest.txt')
STOP_WORDS = set((
"基于", "面向", "研究", "系统", "设计", "综述", "应用", "进展", "技术", "框架", "txt"
))
def getFileList(path):
filelist = []
files = os.listdir(path)
for f in files:
if f[0] == '.':
pass
else:
filelist.append(f)
return filelist, path
def fenci(filename, path, segPath):
# 保存分词结果的文件夹
if not os.path.exists(segPath):
os.mkdir(segPath)
seg_list = jieba.cut(filename)
result = []
for seg in seg_list:
seg = ''.join(seg.split())
if len(seg.strip()) >= 2 and seg.lower() not in STOP_WORDS:
result.append(seg)
# 将分词后的结果用空格隔开,保存至本地
f = open(segPath + "/" + filename + "-seg.txt", "w+")
f.write(' '.join(result))
f.close()
def Tfidf(filelist, sFilePath, path, tfidfw):
corpus = []
for ff in filelist:
fname = path + ff
f = open(fname + "-seg.txt", 'r+')
content = f.read()
f.close()
corpus.append(content)
vectorizer = TfidfVectorizer() # 该类实现词向量化和Tf-idf权重计算
tfidf = vectorizer.fit_transform(corpus)
word = vectorizer.get_feature_names()
weight = tfidf.toarray()
if not os.path.exists(sFilePath):
os.mkdir(sFilePath)
for i in range(len(weight)):
print('----------writing all the tf-idf in the ', i, 'file into ', sFilePath + '/', i, ".txt----------")
f = open(sFilePath + "/" + str(i) + ".txt", 'w+')
result = {}
for j in range(len(word)):
if weight[i][j] >= tfidfw:
result[word[j]] = weight[i][j]
resultsort = sorted(result.items(), key=lambda item: item[1], reverse=True)
for z in range(len(resultsort)):
f.write(resultsort[z][0] + " " + str(resultsort[z][1]) + '\r\n')
print(resultsort[z][0] + " " + str(resultsort[z][1]))
f.close()
TfidfVectorizer( ) 类 实现了词向量化和Tf-idf权重的计算
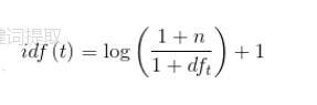
词向量化:vectorizer.fit_transform是将corpus中保存的切分后的单词转为词频矩阵,其过程为先将所有标题切分的单词形成feature特征和列索引,并在dictionary中保存了{‘特征':索引,……},如{‘农业':0,‘大数据':1,……},在csc_matric中为每个标题保存了 (标题下标,特征索引) 词频tf……,然后对dictionary中的单词进行排序重新编号,并对应更改csc_matric中的特征索引,以便形成一个特征向量词频矩阵,接着计算每个feature的idf权重,其计算公式为
其中是所有文档数量,是包含该单词的文档数。最后计算tf*idf并进行正则化,得到关键词权重。
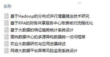
以下面六个文章标题为例进行关键词提取

Using jieba on 农业大数据研究与应用进展综述.txt
Using jieba on 基于Hadoop的分布式并行增量爬虫技术研究.txt
Using jieba on 基于RPA的财务共享服务中心账表核对流程优化.txt
Using jieba on 基于大数据的特征趋势统计系统设计.txt
Using jieba on 网络大数据平台异常风险监测系统设计.txt
Using jieba on 面向数据中心的多源异构数据统一访问框架.txt
----------writing all the tf-idf in the 0 file into ./keywords/ 0 .txt----------
农业 0.773262366783
大数据 0.634086202434
----------writing all the tf-idf in the 1 file into ./keywords/ 1 .txt----------
hadoop 0.5
分布式 0.5
并行增量 0.5
爬虫 0.5
----------writing all the tf-idf in the 2 file into ./keywords/ 2 .txt----------
rpa 0.408248290464
优化 0.408248290464
服务中心 0.408248290464
流程 0.408248290464
财务共享 0.408248290464
账表核对 0.408248290464
----------writing all the tf-idf in the 3 file into ./keywords/ 3 .txt----------
特征 0.521823488025
统计 0.521823488025
趋势 0.521823488025
大数据 0.427902724969
----------writing all the tf-idf in the 4 file into ./keywords/ 4 .txt----------
大数据平台 0.4472135955
异常 0.4472135955
监测 0.4472135955
网络 0.4472135955
风险 0.4472135955
----------writing all the tf-idf in the 5 file into ./keywords/ 5 .txt----------
多源异构数据 0.57735026919
数据中心 0.57735026919
统一访问 0.57735026919






