Python中的引用和拷贝实例解析
时间:2020-10-08 13:25:39|栏目:Python代码|点击: 次
这篇文章主要介绍了python中的引用和拷贝实例解析,文中通过示例代码介绍的非常详细,对大家的学习或者工作具有一定的参考学习价值,需要的朋友可以参考下
一.引用
a = ['a', 'b', 'c'] b = a print(id(a)) print(id(b)) 135300560 135300560
可以看到,变量a 和 b 的 id是完全一样的,这就说明a和b是同时指向内存的同一个区域的,即b随a的变化而变化.

a = ['a', 'b', 'c'] b = a a[1] = 'd' print(b) b[2] = 'e' print(a) ['a', 'd', 'c'] ['a', 'd', 'e']
二.浅拷贝
浅拷贝只是复制了的父对象,即复制后的变量和复制前的子对象还是指向同一个对象
浅拷贝可以写为 copy.copy(obj) 或者 obj.copy()
import copy
a = ['a', 'b', ['c', 'd', 'e']]
b = copy.copy(a)
a.append('e')
print(b)
a[0] = 'g'
print(b)
a[2].append('f')
print(b)
['a', 'b', ['c', 'd', 'e']]
['a', 'b', ['c', 'd', 'e']]
['a', 'b', ['c', 'd', 'e', 'f']]
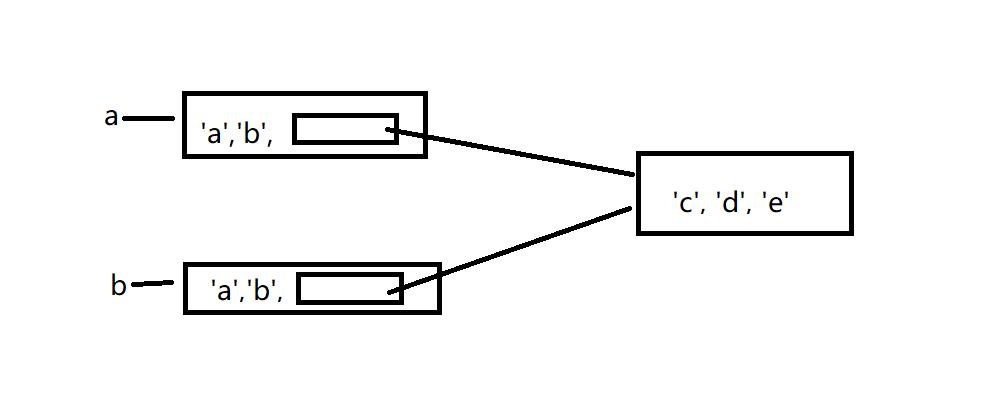
画个图来理解就是如下:

当只有a元素的子元素里的元素有变化时,b才会引起改变
三.深拷贝
深拷贝就比较好理解了,它相当于开辟了一个新空间是新指针指向新的空间,无论原对象怎么变化,新对象都不变
import copy
a = ['a', 'b', ['c', 'd', 'e']]
b = copy.deepcopy(a)
a.append('e')
print(b)
a[0] = 'g'
print(b)
a[2].append('f')
print(b)
['a', 'b', ['c', 'd', 'e']]
['a', 'b', ['c', 'd', 'e']]
['a', 'b', ['c', 'd', 'e']]






